THE COMPONENT DEVELOPMENT OF DIGITAL CLOSE RANGE
PHOTOGRAMMETRY FOR THE CONSTRUCTION STRUCTURE DISPLACEMENT ANALYSIS
Sangho BAE, Korea
Key words: DCRP, Segmentation, Ellipse Fitting,
Displacement.
Abstract
In this study, this researcher designed the routine of image
analysis with object concept, so as to increase the efficiency of
displacement interpretation of structure by digital image analysis.
For the hierarchical connection performance of analysis routine, this
researcher formed the constant attribute of objectification of
photogrammetry process by constituting the classes such as target
location, transformation of coordinates of scan image, bundle
adjustment, and direct linear transformation (DLT). And, this
researcher performed the efficient location of sub-pixel coordinates
by manufacturing the routine of coordinates location of image
including target recognition, grouping, image segmentation and
location etc. and the module of additional functions such as the
establishment of pixel size and the indication function of recognized
target.
For the development of component of digital photogrammetry that the
location of sub-pixel of high accuracy is possible, this researcher
extracted the image segmentation (T-3) method which uses the average
and standard error of greylevel values in search area, and ellipse
fitting (ELI) method by edge detection and thinning by executing error
analysis by the methods of coordinates location of sub-pixel, and
could know that the accuracy of location is improved in accordance
with the increase of threshold value. And, by developing the component
to be based on the establishment of hierarchical diagram of classes
through designing each subject of process of image analysis with the
class of objectification concept, more efficient displacement
interpretation of structure was possible.
1. OOP METHOD
Existing application program was the program of procedure type.
Then, user could not help performing only in accordance with fixed
routine regardless of the processing course or flow of program. But,
the development of program to be able to reinforce the interface with
user came to be possible, as the establishment of system of windows
environment of GUI came to be possible. Object oriented program solves
the problem through the transmission of message mutually among objects
by prescribing the issues to require the processing of data of
characteristic of engineering as objects and generating event. Object
is performed by message transmission through method as the
conglomerate to include data and operation, and the class for
expressing object has the general behavioral style and the state
variable within. Like this, Object oriented programming technique is
the programming of compromise type which uses the core element to be
object and has the merit to be able to take the reuse, expansion and
conservation of object efficiently from the viewpoint of
characteristic of software.In this study, this researcher used the
object oriented programming technique which introduces the object
oriented design concept in the software engineering. Fig. 1 is what
showed the hierarchical diagram of class of windows application
program to move on the basis of message. Then, user gets to complete
program by defining the reaction on event. (Bae,1999)
Fig. 1 Hierarchical Diagram of Class of Digital
Photogrammetry


1.1 Manufacture of Class
Class is for defining the data structure and behavioral style of
similar objects, and object gets to show event in the class which
defined the data form, structure and reaction indication of itself.
So, this researcher designed hierarchical diagram, so that the
hierarchical connection performance through the co-ownership of class
may be possible.
1.1.1 Sub-pixel
For the target recognition and the coordinates location of target,
this researcher manufactured target class by constituting the object
which defined relevant method and property as one class. This
researcher enabled the property to be suitable for the demand of user
to be equipped, by forming the automatic recognition routing of target
through making image into digital data and by objectifying the method
on image segmentation and sub-pixel location for the improvement of
location accuracy of image coordinates. And, in the performance of
target class which uses the data of scan image, this researcher
defined the object of format of scan image for the maintenance of
realiability of measured result. As target occupies a part of digital
image to be expressed with the greylevel value of 0-255 and forms the
group of similar greylevel value, this researcher performed target
grouping to use the information of greaylevel of the data format of
lattice type in search area so as to prescribe the form of target.
This is one of the course of image analysis which is necessary for the
routine of target recognition of automation concept. This researcher
decided the pixel beyond the initial greylevel value in search area by
using the information of greylevel of image and designed the routine
of automatic/semi-automatic target recognition, so that the case that
the interval among pixels is within 5 pixel may be recognized as one
independent target, and planned the minimum size of target for
recognizing with image as 5 pixel. And, so as to extract more improved
method of coordinates location of sub-pixel of accuracy, this
researcher established and used the algorithm of 6 kinds of methods of
image segmentation and of 5 kinds of location methods like table
1.(Chapman,1992, Jansa, 1995, Shortis,1995, etc)
Fig. 2 offers pixel coordinates, image coordinates, and correction
coordinates of lens distortion by the location methods of sub-pixel of
target as what showed the windows of coordinates location which is
performed in system area. And, it is involving the additional
functions such as the illustration of central position of target which
is based on interpretation method, the offer of pixel information of
target area, the establishment of activity of target, and the change
of No. of adjustment point etc. Image coordinates extracts message in
turn with pixel unit and interpretation unit in accordance with the
event to use mouse, and user may make target active or non-active
passively with the automatic deletion of improper target by reject
limit.

Fig. 2 Windows of Coordinates Location
1.1.2 Lease Square Method
LSM class decides the unknown value by performing the data
processing to use surplus observation value. As for LSM, expression is
possible with the procession of AX=L as the control method to be used
most for the processing of observation value. So as to obtain unknown
matrix, object oriented method regards individual procession to pass
through operation course as object and shares these under definition
to be class. That is, it gets to handle the operation of procession by
passing through the action course of object to form method and
property. LSM class realizes unknown procession and co-variance
procession by using Cholesky method. Like this, the data to be
presented through property and the behavior styles to show reaction
indication get to form the performance of hierarchical operation
course or the reconstitution of data by being transmitted to lower
class.
1.1.3 Scan Image
So as to interpret the film image acquired by using general camera,
the control point of transformation of index role for transforming
pixel coordinates(X-Y) into photo coordinates(X'-Y') is necessary.
Generally, in case of non-metric camera, the system of photo
coordinates is established by measuring the corner of film. But, with
this, it is difficult to obtain the location reliability of high
accuracy including the location error of observer. In this study, this
researcher established the coordinates system of image through the
control of LSM of redundancy as the method for the improvement of
accuracy of interpretation of scan image.
This researcher decided primary polynomial by observing film edge
that location is easier than corner with surplus as the method for the
decide of image format of scan image like Fig. 3 and established the
system of image coordinates by verifying 4 line forms which were
extracted.

Fig. 3 Image Format of Scan Image

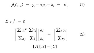
Formula (1) is the basic formula for the establishment of the
system of image coordinates, and we may calculate the solution of LSM
of surplus observation value by arranging with the procession formulas
like formula(2).
This researcher decided the rotary angle of central coordinates (Xc,Yc)
of image, X' axis and Y' axis by using ai(1~4) and bi(1~4) of X
procession and transformed pixel coordinates into image coordinates by
the phase transformation of unequal angle of 2 dimension. This
researcher measured the sub-pixel coordinates of point that the slant
is greatest by analyzing greylevel information toward horizontal or
vertical direction from the central point in the search area of edge.
This researcher got to derive simple equation by using surplus data
beyond minimum 3 points which were observed like this.
1.1.4 3 dimensional Location
This researcher designed the mutual connection nature of analysis
module and classes of digital photogrammetry and introduced the
semi-automation concept to the process from the input section of image
to the location interpretation. As for DLT, analysis course is simple
and initial parameter is not required as the solution of linear
relation. But, as the bundle adjustment technique for the image
interpretation of high accuracy is non-linear solution to require
initial parameter, this researcher manufactured DLT class for leading
the automation processing of this. In DLT class, receiving the object
control point in space and the image point to correspond with it from
the section of input data and extracting the coefficient(L1,-L11) of
DLT through the co-ownership of procession class get to decide the
initial value of outside look element of w, j, k, X0, Y0 and Z0. And,
this researcher sought the efficiency of technique of 3 dimensional
location interpretation through on-line data processing by
manufacturing the bundle adjustment class to share DLT class. As DLT
routine requires the control point of 6 or more at lease and the image
point to correspond with it for extracting 11 transformation
parameters and it is linear solution, interpretation result changes
sensitively in accordance with control point, image point and the
arrangement. Therefore, this researcher designed bundle adjustment
class to be able to decide 3 dimensional position by dynamic
adjustment solution like Robust theory which is not static solution in
consideration of the weight of location accuracy of control point and
image coordinates. This is more roundabout non-linear solution to
calculate the coordinates value and interpretation accuracy of unknown
point by the repeated performance of space resection and space
intersection.
1.2 Digital Photogrammetry System
As windows environment enables the integral environment
establishment which is based on the object oriented technique
centering around event by reinforcing the interface with user, we
should complete the systematic design about right recognition of
analysis routine, approachableness, and processing etc. and the
hierarchical diagram about the mutual compatibility and constant
attribute etc. among classes, for the efficiency increase of digital
photogrammetry. (Han,1995)
So, in this study, this researcher established the digital
photogrammetry system of windows system, by designing the analysis
routine that the independent connection performance is possible about
input of 8 bit image, independent taking of picture information,
abstraction of target image, decision of target area, reject limit,
image segmentation, location, correction of distortion, decision of
pixel size, pixel coordinates transformation, coordinates
transformation of scan image, DLT, and bundle adjustment, passing
through the preprocessing course of raw image. Established system gets
to perform the analysis module to want through mouse or keyboard that
the interface with user is possible and enables visual analysis in
addition to quantitative analysis to be based on simple data
processing. And, we may acquire the location accuracy of sub-pixel
beyond the location accuracy of characteristic of hardware about the
image of size of standardized pixel space acquired from
horizontal/vertical frame graver from the viewpoint of software, by
defining the class about target recognition and location on the basis
of pixel information of 256 stages. Besides, so as to extract more
effective method of target location, we may choose the analysis
routine to be suitable for the hierarchical of system most, by
arranging 6 kinds of methods of image segmentation and 5 kinds of
methods of location.
We may extract DLT coefficient and outside look element by
utilizing the result of control point and the image coordinates with
the data of Cholesky procession formula and may offer the convenience
of system management for image analysis by designing the routine to
process data to be able to measure more exact 3 dimensional position
through using them as the initial value of bundle control.
Like this, this researcher could uplift the convenience, clearness
and intuitive nature of system by establishing the integral
environment of digital photogrammetry through forming the hierarchical
relation and framework about the module of image analysis and the
classes. And, about the independent data of various process courses
that automation level is different, consistent analysis came to be
possible through the systematic establishment to reach from lower
class to upper class. As each analysis module exists in the form of
objectification, the additional establishment of module and class that
user may help analysis is easy, and the geometrical analysis to
correspond mutually among images came to be possible without all the
knowledge about image structure. Fig. 4 is what showed system window
as the basic panel of digital photogrammetry system established for
the location of image coordinates of target.
Fig. 4 System Windows


2. MONITORING OF STRUCTURE, AND ANALYSIS OF ACCURACY
2.1 Image Acquisition and Control Point Survey
So as to verify the possibility of 3 dimensional geometrical image
analysis about structure, this researcher manufactured the imitation
bridge (120 (l)×28 (w)×42 (h)) in the form of suspension bridge. So
as to compare the extraction of displacement quantity which is based
on load change and the standard error which is based on image capture
media by using the application program of established windows
environment, this researcher planned the photography for the image
acquisition of same time zone by manufacturing simultaneous shutter.
And, so as to acquire the image of time zone which is same as the
steel video camera by using digital camcoder that momentary image
capture beyond 10 frame per second is possible, this researcher
manufactured and installed timer. Fig. 5 is what showed the scene of
image acquisition of imitation bridge including photography apparatus
and all the systems used for image acquisition.
This researcher acquired image by using Kodak DCS200 and DC50,
Samsung Camcoder SV-D100(I),(II), Nikon F-801 camera and changed 35
film into the scan image of 15 and 30 per pixel by using the PhotoScan
of Intergraph. Table 2 is what showed the photography condition by the
image capture media. Target attached to interpretation point leads the
strong contrast between the target and the information of greylevel of
background as the retro-reflective target of 8 size. This researcher
executed the location of control point by arranging the reflective
target like this as control point and using total station SET2B around
object. After choosing 2 reference point toward the direction to be
parallel with object, this researcher established 3 dimensional right
angle coordinates system in space which establishes baseline direction
as X axis, and vertical direction as Z axis, and right-angled
direction to it as Y axis. And, this Fig. 5 Scene of Image Acquisition
of Imitation Bridge researcher tried to measure displacement by
loading in the range of middle of land to being many displacements to
the model of tube axis.

2.2 Accuracy Analysis
So as to improve the location accuracy of image coordinates, the
processing level of analysis system, the proper image processing, and
the location of sub-pixel of high accuracy are required. Therefore, in
this study, this researcher executed the error analysis which is based
on the method of image segmentation and the method of location which
have influence on the location accuracy of target by using established
program.
2.2.1 Standard Error to be based on the Method of Image
Segmentation
One of important courses of image processing which have influence
on the location accuracy of target is the establishment of threshold
value by image segmentation. As, the size and form of target change by
threshold value, the method of image segmentation for dichotomizing
the background image that greylevel value is close to 0 and the target
image that it is close to 255 is the course of image processing to
have to consider necessarily for the improvement of location accuracy
of target.
As the result that this researcher executed error analysis by
applying the method of image segmentation and the location method like
table 1 to the image of DCS200 camera and the image of same time zone
of scan 15, this researcher could extract the average standard error
and 3 dimensional position error of XYZ axes like table 3. From this,
this researcher could know that T-3 method of image segmentation which
uses the average and standard error greylevel information in search
area shows relatively better accuracy to show the relation between
threshold value and accuracy which are based on the method of image
segmentation on the basis of result of error analysis of table 3 is as
is in table 4. This showed the tendency that the number of target to
include decreases and the accuracy is improved as threshold value is
big and that the number of target to include increases and the
accuracy decreases relatively as threshold value is small as what
showed the relation among method of image segmentation, threshold
value, target size, and accuracy. From this, this researcher could
know that T-3 method of image segmentation which uses the average and
standard error of greylevel value in search area shows high efficiency
about the pixel information of target image.

2.2.2 Standard Error to be based on the Location Method
This researcher calculated the coordinates result of target and the
error analysis by applying the technique of centroid location which
enables the sub-pixel location of image coordinates and the ellipse
fitting(EL) method to be based on edge detection through subdividing
the pixel to be the physical location unit of system. Fig. 6 is what
illustrated 3 dimensional position error by the method of image
segmentation which is based on the location method. This researcher
could see that fig. 6 shows minute size but better accuracy in
comparison with the location method that EL(I) method is different as
the result that this researcher executed the error analysis to be
based on location method by using the image of same time period which
was acquired with 2 SV-D100
Fig. 6 3-dimensional Position Error by the Method of Image
Segmentation which is based on the Location Method camcoders. And, out
of centroid location methods, CT2 method which used greylevel value as
weight showed more improved accuracy. The result interpreted by
applying location EL(II) method showed the accuracy distribution which
is low relatively in comparison with the accuracy interpreted by
applying other location algorithm, and it is considered that this
became issue in the algorithm arrangement of mathematical model
formula.

2.2.3 2 dimensional Target Location Accuracy
This researcher analyzed the location accuracy of sub-pixel of
target by the image capture media by applying T-3 method of image
segmentation and EL1 method of location to the image of same time
zone. Table 5 is the result which extracted 2 dimensional location
accuracy of target by analyzing the solid model to be based on the
image capture media afterwards. In case of interpreting the image of
same time zone of DCS200 and scan 15?, this researcher could obtain 2
dimensional target location accuracy of 3? or so and the pixel
accuracy of 1/354. And, this researcher could obtain the precision of
1:800,000 or so at 2.6m or so of photography distance. Fig. 7 is what
illustrated the relation between 2 dimensional target location
accuracy and 3 dimensional position error which were interpreted by
the method of image segmentation and the location method by the image
capture media. Then, this researcher could know that 3 dimensional
position error which is based on interpretation method becomes larger
as irregular aspect as the location error of target becomes larger.
Therefore, we can see that we should improve the location accuracy of
sub-pixel of target and that the establishment of location algorithm
of sub-pixel of high accuracy and the development of processing
software are essential with the development of hardware that the image
acquisition of high resolution is possible.
Fig. 7 2-dimensional Target Location Accuracy and 3
dimensional Position Error


2.3 Location of Displacement
So as to measure the displacement of observation model which is
based on load change, this researcher interpreted 22 image points
attached to beam by loading total 9.6kg by 1.6kg by stages and
applying T-3 method of image segmentation and EL1 method of location
at initial state. In case of ICM-A, this researcher acquired the image
of same time zone which is based on the load change of 7 stages by
using DC50 and SV-D100, and it showed the standard error of Y axis
(hanging direction) of 1.8918 or so. This is considered as the result
induced from the systematic instability and low resolution of DC50
camera which showed serious lens distortion. The case of ICM-C showed
the standard error of Y axis of 0.9641? as the result analyzed by
capturing the image of same time zone which uses timer from the
continuous frame acquired by using 2 SV-D100. As this may reduce the
required time to be based on the acquisition and processing of on-line
data in comparison with steel video camera, it is expected that
establishing the hardware such as the image capture board of high
resolution which can capture the increase of frame number per second
and the momentary frame may increase the application for the location
of displacement and momentary conduct of structure.

Fig. 8 3 dimensional Position Error by Load which
is based on the Image Capture Media axis of 0.2 or so.
The case of ICM-D analyzed by using the image of DCS200 and the
image of 35 film showed relatively most improved standard error of
vertical direction of 0.1816 , and the case of ICM-B and ICM-E
interpreted by scanning film image showed the standard error of the
direction of Y.
Fig. 8 is the result which illustrated 3 dimensional position error
by load which is based on the image capture media. In case of
analyzing the image of same time zone of scan of DCS200 and 15 film,
the hanging quantity of 5.648? was generated at the time of loading
1.6kg, and the hanging quantity of 8.433? was generated at the time of
loading 9.6kg. Thus, it could be seen that 70% or so of whole hanging
quantity is generated at the time of initial loading. At this time,
the standard error of vertical direction is 0.1819. Fig. 9 is the
result which illustrated the displacement quantity of vertical
direction which is based on load in initial state as relative
coordinates result.
Like this, as I could create the base of module of image analysis
that the addition and renewal of diverse camera in digital image, it
is considered that many applications in diverse fields will be
possible.analysis modules are easy in this study, it is considered
that management will be possible by grafting various modules for
performing the displacement interpretation of structure more
efficiently through expanding the class of objectification concept of
digital photogrammetry. And, as the interface and processing of
on-line data are possible from CCD camera or digital.

Fig. 9 Vertical Displacement of Imitation Bridge
which is based on Load
It is expected that the possibility to put digital photogrammetry
to practical use will be very great as the location technique of
version for the interpretation of displacement of large-size structure
in civil engineering and diverse industry fields, if much study on the
development of digital camera and analysis system is performed
3. CONCLUSION
- For the analysis of digital image, this researcher developed
object oriented digital photogrammetry component by designing and
establishing the hierarchical diagram about the class of user and
the processing routine of data with objectification concept.
- For the hierarchical connection performance of analysis routine,
this researcher created the objectification structure of
photogrammetry process by constituting the classes such as target
location, coordinates transformation of scan image, bundle
adjustment, and DLT.
- This researcher could uplift the reliability of coordinates
location of target and could establish reject limit for promoting
the efficiency of target, as this researcher established the
system of image coordinates by deciding the outer block part of
scan image through the method of edge detection.
- This researcher could see that the method of image segmentation
(T-4) which uses the average and average error of greylevel
information in search area and the ellipse fitting method(EL1) to
be based on edge detection are ideal for the location of sub-pixel
of target.
- This researcher could perform the displacement location of
imitation bridge more efficiently by developing the component to
be able to expand the class of diverse subjects through designing
each subject of digital photogrammetry process with the class of
objectification concept.
- It is expected that the application will be expanded to various
industrial fields as well as construction field, if we seek the
on-line of system that the location of real structure of real-time
is possible with the continuous study for the improvement of
accuracy of digital photogrammetry, in the future.
BIBLIOGRAPHY
- Amirn Saeed Homainejad(1996). The Problems of Real Time
Photogrammetry. The Univ. of New south Wales.
- Bae, Sang-Ho, Kang, Jook-Mook, Song, Seung-Ho (1999). The
Construction of Digital Photogrammetry System Using Windows
Environment. The Journal of Korean Society Civil Engineering,
Vol.19, ?-2; 325~334.
- Clive S. Fraser(1991). A resume of some industrial applications
of photogrammetry. ISPRS Journal of Photogrammetry and Remote
Sensing.
- C.W. Urquhart, J.P. Siebert(1993). Towards Real-Time Dynamic
Close Range Photogrammetry. SPIE Videometric, Vol. 2067: 240~251.
- D. Cosandier and M.A. Chapman(1992). High precision target
location for industrial metrology. SPIE,Vol.1820: 111-121,
Videometrics.
- Firooz A.Sadjadi(1997). Automatic target Recognition . SPIE.
- Han, Seung-Hee(1995). 3D Modeling of Automobile part Based on
CCD camera. SPIE, Videometric?, Vol. 2598: 149~160.
- J.C. Trinder,J. Jansa and Y. Huang(1995). An assessment of the
precision and accuracy of methods of digital target location.
ISPRS:12-20.
- M.R. Shortis, T.A. Clarke, and S. Robson(1995). Practical
Testing of the Precision and Accuracy of Target Image Centering
Algorithms. SPIE Videometrics, Vol. 2598: 65-76.
CONTACT
Sangho Bae
Full Time Lecturer, Civil Eng.
Daelim College
526-7 Bisan Dong
Dongan Gu
Anyang
KOREA
Tel. + 82 31 467 4912
Fax + 82 31 467 4910
E-mail: shbae@daelim.ac.kr
13 April 2001
This page is maintained by the
FIG Office. Last revised on 15-03-16.
|